Principios fundamentales de la dinámica para la reconstrucción de accidentes
En la reconstrucción de accidentes de tráfico se debe tener presente las tres leyes fundamentales de la dinámica, que formuló Newton.
Dinámica es la parte de la mecánica que estudia la relación entre el movimiento y las causas que lo producen (las fuerzas). El movimiento de un cuerpo es el resultado de las interacciones con otros cuerpos que se describen mediante fuerzas.
Conceptos de masa, peso y fuerza
- Masa: Es la cantidad de materia que posee un objeto (magnitud escalar).
- Peso: Es la fuerza de atracción que ejerce la tierra sobre los objetos (magnitud vectorial).
La masa es una magnitud física, una propiedad fundamental de la materia, que expresa la inercia o resistencia al cambio de movimiento de un cuerpo, es la medida de su resistencia a cambiar de velocidad, la propiedad que determina su aceleración cuando se encuentra bajo la influencia de una fuerza dada.
La unidad utilizada para medir la masa en el Sistema Internacional de Unidades es el kilogramo (kg).
No debe confundirse con el peso, que es una magnitud vectorial que representa una fuerza cuya unidad utilizada en el Sistema Internacional de Unidades es el newton (N). Un newton, es la fuerza que aplicada a un cuerpo de 1 kilo de peso le proporciona una aceleración de 1 m/s2.
- A partir del peso de un cuerpo en reposo, que es atraído por la fuerza de la gravedad, se puede conocerse su masa al conocerse el valor de la gravedad.
- El peso de un objeto se obtiene multiplicando su masa por la aceleración de la gravedad, que es 9,8 m/s2.
Ejemplo: la masa de una persona son 75 kg; su peso será:
P = m • g = 75 kg • 9,8 m /s² = 735 Nw
La masa vendrá expresada en kg y, el peso, en Newtons.
- La fuerza: es una magnitud vectorial que mide la intensidad del intercambio de momento lineal entre dos cuerpos. La fuerza se define en función de la aceleración que produce sobre un cuerpo.
Elementos de una fuerza: Punto de aplicación, dirección, sentido e intensidad.

1ª. Ley de Newton. Principio de inercia
Todo cuerpo preserva su estado de reposo o movimiento uniforme y rectilíneo a no ser que sea obligado a cambiar su estado por fuerzas impresas sobre él.
Cuando nos desplazamos en un vehículo y éste frena, experimentamos una fuerza que nos impulsa a seguir moviéndonos en la misma dirección. Es decir, tendemos a mantener nuestro movimiento.
Fi = m . a
La fuerza de la inercia es proporcional a la masa por la aceleración.
Este principio físico se observa mejor cuando se viaja en un autobús de servicio urbano, especialmente de pie. Al acelerar el vehículo, los pasajeros experimentan una fuerza hacia atrás y hacia delante al frenar ; según sea la velocidad será más o menos violenta dicha fuerza.
Igualmente en un vehículo que transporta mercancía la carga experimentará un desplazamiento, alterando el centro de gravedad del automóvil más adelante se estudiará como se calcula dicho centro, creando una inestabilidad en el mismo, pudiendo llegar al vuelco.
2ª. Ley de Newton. Principio fundamental de la dinámica
La aceleración de un objeto es directamente proporcional a la fuerza que actúa sobre él e inversamente proporcional a la masa.
Eso significa que para que un objeto se mueva rápidamente debes aplicarle mucha fuerza, pero también, que la rapidez con la que se mueve el objeto depende de qué tan liviano o pesado es.
La variación de cantidad de movimiento es proporcional a la fuerza externa que lo origina y produce un desplazamiento en dirección a la fuerza en la que actúa.
Es muy importante esta ley en la reconstrucción de accidentes de tráfico, pues, nos aclara la energía que provocó el desplazamiento, así como la intensidad y dirección de la fuerza.
3ª. Ley de Newton. Principio de acción-reacción
Siempre que dos cuerpos interaccionan, la fuerza que ejerce el primero sobre el segundo (acción) es igual y opuesta a la que ejerce el segundo sobre el primero (reacción).
Cuando un automóvil choca contra un obstáculo ( acción) se origina otra fuerza igual,
pero de sentido contrario (reacción)
Si una fuerza actúa sobre el centro de gravedad de un cuerpo
(fuerza centrada) produce un desplazamiento de dicho cuerpo.
Si la dirección de la fuerza no pasa por el centro de gravedad
(fuerza excéntrica), creará un par que producirá un giro en dicho cuerpo.
Para la reconstrucción de accidentes de tráfico hay que estudiar las diferentes fuerzas que pueden afectar y descomponer dichas fuerzas:
- La descomposición de una fuerza: Es sustituir la fuerza por sus componentes. Donde se aprecia mejor es en los tramos de carretera con rampa (subida) o pendiente (bajada) al formar un plano inclinado o triángulo rectángulo con la horizontal del trazado de la vía.
- Fuerza de rozamiento: Se define la fuerza de rozamiento por deslizamiento entre dos superficies como el producto de la componente normal del peso por el coeficiente de rozamiento entre ambas.
La fuerza de rozamiento tiene algunas características que debemos saber:
- Es una fuerza paralela a la superficie de contacto.
- Tiene sentido contrario al movimiento, o a la componente tangencial de la fuerza que hacemos para mover, o intentar mover, el cuerpo.
- La fuerza de rozamiento es mayor cuando el cuerpo aún está en reposo que cuando se pone en movimiento.
- La fuerza de rozamiento depende de la naturaleza y estado de las superficies, pero no del área de contacto, a través del coeficiente de rozamiento. Hay un coeficiente estático cuando el cuerpo está en reposo, y un coeficiente cinético cuando el cuerpo está en movimiento.
- La fuerza de rozamiento (Fr) depende de la fuerza normal del cuerpo.
Siendo:
μ = Coeficiente de rozamiento
N = Componente del peso normal al plano
Fr = μ . N

- Resistencia a la rodadura: Es aquella fuerza que se opone a que un cuerpo ruede libremente sobre otro. Cuando un neumático rueda sobre una superficie dura, la resistencia al avance del vehículo viene determinada por la deformación radial que sufre el neumático sometido a una carga vertical. Su valor depende fundamentalmente del tipo y estado del neumático, su presión de inflado, la velocidad del vehículo, y las características de la superficie de rodadura.
El coeficiente de rodadura tiene un valor muy inferior al de los coeficientes de rozamiento por deslizamiento (estático y cinético). Su valor nos lo define la ecuación
Fod = N . δ / R
Siendo:
N = Componente normal del peso
R = Radio del cuerpo que rueda
δ = Coeficiente de resistencia a la rodadura (en unidades de longitud)


La resistencia a la rodadura en carreteras asfaltadas, con una superficie dura, es pequeña, siendo mayor cuando se circula por terrenos blandos, como arena.
En la Reconstrucción de accidentes hay que determinar el Coeficiente de rozamiento en seco o en mojado
El coeficiente de rozamiento se ve fuertemente influenciado por la presencia de agua en la carretera. Puede distinguirse entre pavimento húmedo, cuando la capa de agua tiene únicamente unas micras de espesor, y pavimento mojado, cuando ese espesor de la capa posee décimas de milímetro.
- En pavimento mojado, el agua que se interpone entre el neumático y el suelo anula en gran medida las fuerzas de cohesión electroquímicas entre la superficie quedando únicamente las fuerzas de rozamiento debidas a las superficies salientes del terreno.
- Conforme aumenta el espesor de la película de agua, o conforme la profundidad del dibujo disminuye, el neumático no es capaz de desalojar el agua y esta comienza a acumularse, delante del mismo.
- En el momento en que se produce este peligroso fenómeno aquaplaning o hidroplaneado, el neumático se encuentra deslizando por encima del agua, de la misma manera que un esquiador acuático se desplaza sobre la superficie del mar, con un coeficiente de adherencia mínimo.
Determinación práctica del coeficiente de rozamiento en la reconstrucción de accidentes de tráfico
Existen tres métodos fundamentales para determinar el coeficiente de rozamiento que debe emplearse en una reconstrucción de siniestros determinada.
En orden descendente del grado de exactitud que puede conseguirse, los tres métodos son:
Realización de pruebas de frenada
- Empleando un vehículo de similares características equipado con neumáticos parecidos a los utilizados por los vehículos accidentados.
- Las pruebas deben realizarse, a ser posible, en la misma dirección indicada por las huellas de frenada (de este modo el coeficiente de rozamiento ya estará corregido teniendo en cuenta la pendiente). La velocidad inicial debería ser similar a la estimada para los vehículos accidentados.
- En este caso, la deceleración deberá ser medida mediante acelerómetros, quintas ruedas, grabadoras de datos para siniestros o cualquier otro método disponible en el mercado.
Medición con un dinamómetro convencional
- Se mide la fuerza necesaria para arrastrar un neumático lastrado o también, de una sección de neumático rellena de hormigón. Si el arrastre se efectúa en la misma dirección indicada por las huellas dejadas tras el siniestro, la medición ya tendrá en cuenta la inclinación o pendiente de la vía.
- Una vez determinado el peso de la rueda lastada, por ejemplo con el mismo dinamómetro utilizado en el arrastre, resulta inmediato determinar el coeficiente de rozamiento.
- En este caso normalmente será imposible efectuar la medida a la velocidad media de los vehículos implicados en el siniestro.
Examen minucioso de la superficie de la vía
- Este examen minucioso, riguroso y exhaustivo del tipo de firme (hormigón, asfalto, empedrado, etc.), medida de las inclinaciones longitudinales y transversales en la dirección de las huellas, temperatura de la zona y otras variables climatológicas.
- Determinar el correspondiente coeficiente de rozamiento a través de la consulta en las tablas de coeficientes dinámicos de rozamiento.
- Los valores usuales de para distintos tipos de firme y condiciones diversas se presentan en las siguientes tablas:
Tabla con coeficientes de adherencia

Tabla con coeficiente de adherencia, neumáticos de camión

Tabla con otros coeficientes de rozamiento

Fuerza centrífuga en la reconstrucción de accidentes de tráfico
Cuando un vehículo realiza una trayectoria no rectilínea (curva), aparece una fuerza que tiende a desplazar a ese vehículo hacia el exterior de dicha curva. A esta fuerza se le denomina fuerza centrífuga y su valor es:

Fc = (m . v²) / R
Siendo:
Fc = Fuerza centrífuga en N
m = Masa del cuerpo en kg
v = Velocidad en m/s
R = Radio de la curva en m
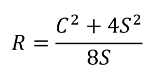
Para calcular el radio de las curvas
Conociendo la longitud de la cuerda y de la sagita se puede utilizar un nomograma para calcular el radio de las curvas en función de la cuerda y la sagita, también se pueden aplicar las fórmulas siguientes:
Siendo:
C = Cuerda
S = SagitaPara el cálculo de la velocidad en las curvas (peraltes)
Al tomar una curva, el vehículo se ve sometido a una fuerza centrífuga (Fc) horizontal y otra vertical, correspondiente a su peso (P).
Descomponiendo estas fuerzas, se tendrá:
P = Peso del vehículo
Fc = Fuerza centrífuga
Fr = Fuerza de rozamiento
Fct = Fuerza centrífuga tangencial
Fcn = Fuerza centrífuga normal
Pt = Componente del peso tangencial
Pn = Componente normal del pesoPara que el vehículo no salga hacia el exterior de la curva, deberá cumplirse que las proyecciones de las fuerzas sobre el eje X paralelo a la carretera sean:
Pt+Fr > Fct
Ejemplo: Determinar el radio de la curva y la velocidad critica de la misma para unos coeficientes de rozamiento de μ= 0,4 y μ= 0,85.
Sagita (S) 2 m
Cuerda (C) 40 m
Radio de la curva (R)
Velocidad critica1 (V1)
Velocidad critica2 (V2)
Radio de la curva:
R = (c² + 4 • S² ) / 8S = (402 + 4 • 22) / 8 . 2 = 101 metros
Velocidad crítica para μ= 0,4 V1=71,6 km/h
Velocidad crítica para μ= 0,85 V2= 104,4 km/h









